Компания Nestlé отозвала на мировом уровне некоторые детские молочные смеси из-за возможного риска загрязнения токсином церевилид (может вызвать тошноту, рвоту и боли в животе).
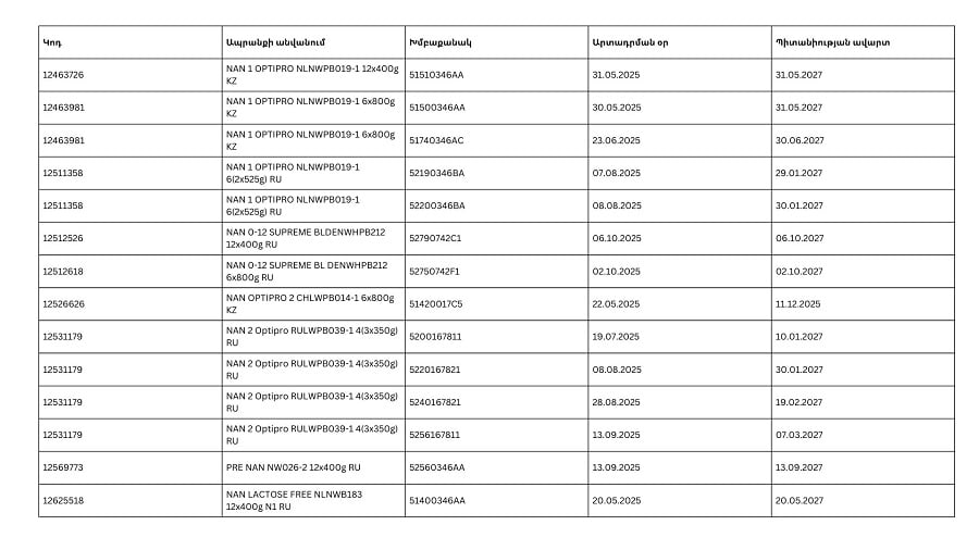
По требованию Инспекции по безопасности пищевых продуктов компании, импортирующие указанные партии продукции под брендом NAN в Республику Армения, немедленно начали процесс изъятия товаров из торговых точек.
Хотя подтверждённых случаев заболеваний, связанных с этой продукцией, не зарегистрировано, отзыв проводится в качестве меры предосторожности.
Если вы увидите в торговой сети коробки указанных партий под брендом NAN, настоятельно рекомендуем не покупать их и немедленно сообщить об этом на горячую линию Инспекции по номеру 118, которая работает круглосуточно и бесплатно.


















































